克日,,,,,质料学院先进凝固手艺中心团队在热裂研究方面取得新的希望,,,,,相关研究效果以“Propagation mechanism and criteria of hot tearing in Fe-1.0 wt.%C binary alloy”为题揭晓在工程失效领域学术期刊Engineering Failure Analysis(中科院工程手艺类2区,,,,,质料科学:表征与测试1区)。。。。。。该论文第一完成人为苏晨光硕士研究生,,,,,亚游集团为第一作者单位,,,,,仲红刚博士、翟启杰教授为通讯作者,,,,,相助者为东南大学韩青有教授。。。。。。

热裂是一连铸钢及其它金属凝固历程中的常见缺陷,,,,,其准确展望对冶金生产及合金铸造等很是主要。。。。。。可是,,,,,现在对热裂的研究多基于镁合金、铝合金等有色合金,,,,,关于钢的热裂研究相对较少。。。。。。该事情以热裂倾向严重、具有典范粗大树枝晶组织的Fe-1.0 wt.%C二元合金为研究工具,,,,,接纳动态加载凝固裂纹热模拟试验机,,,,,研究了差别应变速率下该合金的热裂形成历程。。。。。。发明Fe-1.0%C二元合金的临界应变速率规模在1.2×10-4s-1-7.9×10-5s-1之间,,,,,且热裂纹扩展的温度或固相率与团队提出的热裂倾向因子
保存枯燥函数关系,,,,,批注该理论也适于Fe-C合金,,,,,该研究对高碳钢连铸裂纹的展望和预防具有现实意义。。。。。。

动态加载凝固裂纹热模拟试验机原理示意图
首先,,,,,使用自主开发的动态加载凝固裂纹热模拟试验机,,,,,通过自动施加载荷并准确控制加载速率,,,,,模拟Fe-1.0 wt.%C二元合金的热裂形成历程。。。。。。在此基础上,,,,,结协力学曲线剖析、金相组织视察、断口形貌评估,,,,,以及混淆搭桥理论和热裂敏感性指标,,,,,系统表征了Fe-1.0 wt.%C二元合金的热裂行为。。。。。。研究不但确定了该合金的临界应变速率规模,,,,,为碳钢热裂的展望与定量研究提供了参考;;;;;;;还剖析了差别实验参数与团队提出的热裂倾向因子
的关系曲线,,,,,效果显示曲线拟合度优异,,,,,批注该热裂倾向因子在Fe-1.0 wt.%C二元合金中具有热裂展望价值。。。。。。

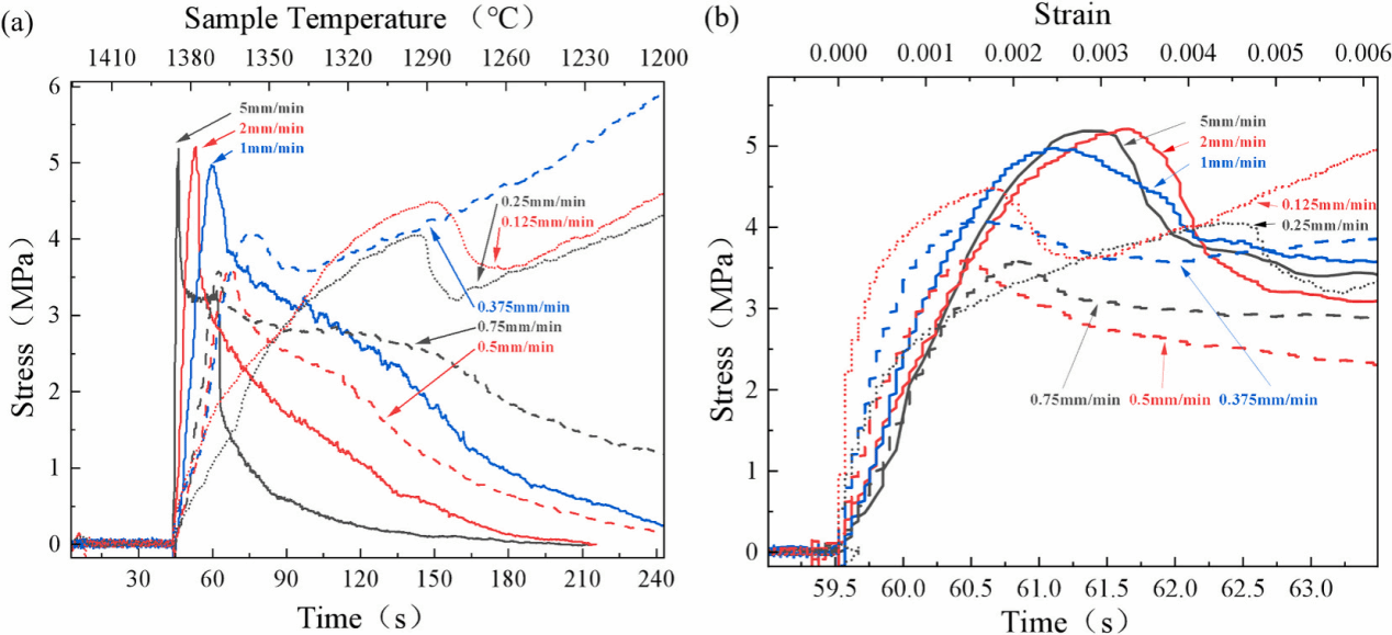
数据转换后获得应力-试样温度曲线和程应力-应变曲线

差别应变速率下
与裂纹首次扩展温度及其对应的固相分数的关系
该研究获得国家自然科学基金和龙门实验室项目的资助。。。。。。
文章链接:https://www.sciencedirect.com/science/article/pii/S1350630725005710?via%3Dihub
https://authors.elsevier.com/a/1lKvc4p6GubZ6E(全文免费下载40天)